【公示】熊猫体育熊猫体育2021年硕士研究生复试成绩公示2
按照公司要求,经公司复试考核,现对熊猫体育2021年硕士研究生复试成绩予以公示,若对复试成绩有异议,请联系公司。
工程管理(MEM):李老师 0532-88959186
会计专硕:柳老师0532-88959202
工商管理硕士(MBA):马老师 0532-88956657
研究生招生办公室:0532-88957382
熊猫体育
2021年3月29日
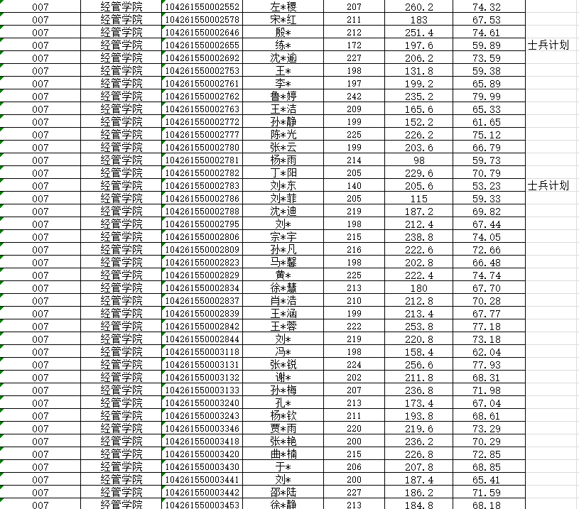
2021级工程管理专硕复试成绩公示
2021级工商管理专硕复试成绩公示
2021级会计硕士专硕复试成绩公示
上一篇:关于组织2020年度ACCA单项奖学金评选的通知
下一篇:【公示】熊猫体育关于推选本科生候选人评选“青岛市百名优秀老员工”的公示